ブログ名

競技プログラミングやお歌のお話をする高菜です。

2024-03-20から1日間の記事一覧

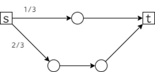
[工事中]いわゆる期待値 DP の考え方

$$ \newcommand \id { \mathrm { id }} \newcommand \src { \mathrm { src }} \newcommand \tar { \mathrm { tar }} \newcommand \pid { p _ { \id } } $$ 毎回同じ形で出るのになんか混乱するので纏めました。 ※ 「補遺 ~ 執筆後に思ったのですが」にある…